阻尼,在振动过程中耗散振动能量,使振动衰减下来的力,是广义的阻尼;在动力学方程中,阻尼与速度成正比,相应的系数称为阻尼系数,该种类型的阻尼称为粘性阻尼或线性阻尼,是狭义的阻尼。

由于阻尼是耗散振动能量的,因此,阻尼方向始终与速度方向相反。然而,在现实世界中,粘性阻尼是很少的。在动力学方程中,能处理的只有粘性阻尼。因此,对于大量的非粘性阻尼,必须处理为粘性阻尼。
动力学分析中易于处理的两种阻尼:粘性阻尼(粘性液体),结构阻尼(材料本构)。
01
粘性阻尼
粘性阻尼是最简单、最理想化的阻尼,然而该类型的阻尼在现实世界中几乎不存在,但是有些类型的阻尼处理为粘性阻尼后,可以获得理想的结果。比如,汽车悬架上用的液体阻尼器,依靠粘性液体的反复流动实现对振动能量的衰减。

阻尼系数的确定是困难的,最常用的方法还是通过试验的方法,测量出振幅的衰减率

进而由下式推导出阻尼比ζ

求出阻尼比ζ,就可由系统的临界阻尼cn=2mωn,得到系统的粘性阻尼ζ*cn。
02
结构阻尼c
结构阻尼是由材料本构产生的一种阻尼形式,该种类型的阻尼因材料的不同而有较大的变化,一般金属材料的结构阻尼在0.03-0.05之间。结构阻尼的处理方法大致来说分为两种,一是复刚度,二是Rayleigh阻尼。
复刚度:
该种处理方法认为系统的结构阻尼与振幅成正比,但在相位上差90度,在动力学方程中描述为

假设两个动力学方程等价,可推导出gk=cω,即c=gk/ω。因此,要用粘性阻尼c来模拟结构阻尼g,只有在某一指定频率值ω下才有意义。系统阻尼比为

其中,λ=ω/ωn频率比。

对比公式的几点说明:
- 当λ=1,即激励频率等于固有频率时,阻尼比等于结构阻尼的一半,若此时系统没有其他阻尼,则品质因子Q=1/g;
- 当λ1,即激励频率小于固有频率,结构阻尼将提供更大的阻尼比,即此时材料本身对振动的衰减将更加有效;
- 当λ1,即激励频率大于固有频率,结构阻尼将提供相对较小的阻尼比,即此时材料本身对振动的衰减将变得微弱。

Rayleigh阻尼:
Rayleigh 阻尼是将结构阻尼通过一定的线性组合直接转化为粘性阻尼。

其中,C为阻尼矩阵,M为质量矩阵,K为刚度矩阵。


其中,ω1、ω2 为关注的频率段的上下限。
对Rayleigh阻尼的讨论:当系统发生共振时,此时我们只关注该频率下的阻尼,即ω1=ω2,则有:


即:


其他类型的阻尼,因为形式各样,很难用公式去描述,在实际工程中常用的方法是根据一个振动周期消耗的能量相等的原理,去估算一个等效的粘性阻尼。
粘性阻尼在一个振动周期所做的功是W,则由下式可计算出W

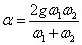
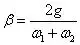
摩擦阻力的等效粘性阻尼:
阻力f与摩擦系数成正比,f=μmg


流体中阻尼的等效粘性阻尼:
阻力f与速度的平方成正比,f=γ*v²