【英文名称】 1-Butyl Hydroperoxide
【分子式】 C4H10O2
【分子量】90.12
【CAS号】75-91-2
【缩写和别名】 TBHP,叔丁基过氧化氢。
无色透明液体 ,fp 35 ℃,d 0.901 g/cm3.易溶于醇、醚和氯仿,微溶于水和DMSO。
【制备和商品】国内外试剂公司均有销售。商品试剂多为70%-90%水溶液也有其无水有机溶液销售。实验室可以由叔丁醇与硫酸反应生成硫酸氢叔丁酯,然后再经过氧化氢氧化制备。
【注意事项】易燃和具有氧化性,有爆炸的危险,应避免剧烈震荡和明火,不能和还原性物质、强酸和强碱共放。须在通风橱中操作和使用。
过氧叔丁醇(TBHP)是一种常用的氧化剂,广泛应用于醛、酮、羧酸酯和环氧化合物等的合成。在一定条件下,过氧叔丁醇此外可以将硫、氮、磷等杂原子氧化成为相应的氧化产物。
在碱性条件下,四氧化锇催化剂和过氧叔丁醇联合使用可以将烯烃氧化成为双羟基化合物,常用的碱为Et4NOH。该方法可以避免使用化学计量的四氧化锇,从而大大降低了反应成本和毒害性。当底物中含有对碱敏感的官能团时,可以使用Et4NOAc替代Et4NOH进行反应。

在过氧叔丁醇和四氯化钛的共同作用下,非官能化的烯烃可发生羟基化反应,在底物分子中同时引入氯原子和羟基,当烯丙醇作为反应物时,使用TiCl22 代替TiCl4,并向反应中加入手性配体如-酒石酸二乙酯,可使该反应实现不对称催化。

使用催化量的SeO2和化学计量的过氧叔丁醇可以将烯丙位的氢原子氧化成羟基,其后处理较使用化学计量的SeO2方便。对于某些结构的烯烃,在反应中加入羧酸有助于提高氧化的收率,当使用苯基二硒醚与过氧叔丁醇共同氧化烯丙位氢时,可以得到重排的烯丙醇产物。

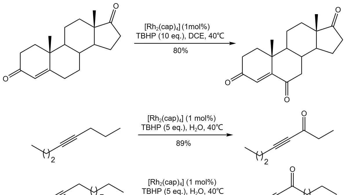
在金属催化剂Rh2(cap)4的催化下,过氧叔丁醇可氧化烯烃和炔烃邻位的氢原子,以较好的收率得到相应的酮,值得注意的是:如果炔烃的两个邻位都含有氢原子,在该条件下得到的是单氧化产物。当炔烃两端分别连有不同取代基时,总是取代较多的一端被氧化。

在手性配体的存在下,利用金属催化剂和过氧叔丁醇可实现烯丙醇的不对称环氧化,其中较为成功的是以手性酒石酸酯和钛酸酯组成的催化体系。该体系最早由Sharpless报道,因此这一催化体系又被称为Sharpless环氧化反应,在多数情况下,该反应都能给出90%ee以上的环氧丙醇。该反应对底物中的许多官能团兼容性较好,具有广泛的应用范围。在一定构型的手性酒石酸存在下,根据所使用底物烯丙醇的Z-或E-构型,可以准确地预测产物中新形成的手性中心的构型。

在催化剂作用下,过氧叔丁醇可以氧化含硫化合物生成亚砜。如果使用手性配体,则可以得到手性亚砜化合物。当过氧叔丁醇过量时,反应可继续将生成的亚砜氧化成砜。此外,过氧叔丁醇还可以氧化磷化合物,得到相应的五价磷化合物。


在金属催化剂作用下,含氮化合物可以发生氮原子或碳原子的氧化。其中,仲胺可被氧化成相应的亚胺化合物。在钌盐的催化下,叔胺化合物和仲胺形成的酰胺均可以发生邻位的氧化反应,得到过氧叔丁基取代的产物。

除了氧化反应外,过氧叔丁醇还可以对缺电子烯烃进行亲核加成,得到有机过氧化合物。例如:在手性脯氨醇催化下,过氧叔丁醇可以对硝基苯乙烯发生不对称加成反应,产物经过简单的衍生可以生成手性的氨基醇化合物。