解析几何中出现的角度问题并不一定都能转化成斜率来处理,解析几何中处理角度问题的方法也可以采用余弦定理或向量法,只不过用斜率较多,一般来说角度是与坐标轴所成的夹角时一般可以转化为斜率问题,若角度并非与轴的夹角根据辅助线,相似或全等看能否转化成与轴的夹角。
解析几何大题中与角度有关的问题常以两类形式给出,第一种条件中两角度相等或成倍数关系,求其他量,第二种相反,让根据条件证明角度相等或角度成倍数关系,当然角度与解析几何的结合并非这两种,也有可能让证明某个三角形是特定的形状,例如证明三角形为等腰三角形或其中某个角度为锐角,还有一种很多年不见的题型直径圆也会与角度有关。
与角度有关的解析几何题目在2017年全国卷中出现过,让证明两角相等,其实就是底边在x轴上的等腰三角形,转化为斜率之和为0即可,月前的八省联考中让证明角度为二倍关系,这两角均为与x轴的夹角,转化为角度的正切值,利用正切二倍角公式和斜率公式展开令其相等即可。
昨天有同学问到下面的一个题目,算是做一次简单的扩展:

题目中∠AOx和∠BOx均为与x轴的夹角,两角和为90°,据此可将角度条件转化为斜率之积为1,过程如下:

若A,B两点同在x轴下方,还满足角度之和为90°,此时上下两条直线关于x轴对称,所以直线恒过的定点肯定在x轴上,若把题目改一下,设AB:y=kx+b,∠AOx+∠BOx=45°,如何确定k,b之间的转化关系?

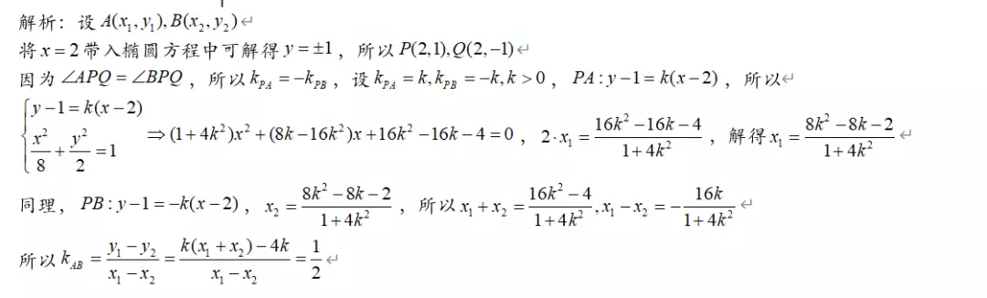
之后用点表示出斜率,韦达定理带入即可,再给出一个很经典的题目,如下:


解析几何中的角度关系还有很多其他的处理方法,此类题目也很多,自己多总结一些即可,难度不大。