方法一:带符号搬家法

当一个计算题只有同一级运算(只有乘除或只有加减运算)又没有括号时,我们可以“带符号搬家”。
a+b+c=a+c+b
a+b-c=a-c+b
a-b+c=a+c-b
a-b-c=a-c-b
a×b×c=a×c×b
a÷b÷c=a÷c÷b
a×b÷c=a÷c×b
a÷b×c=a×c÷b)
方法二:结合律法
(一)加括号法
1.在加减运算中添括号时,括号前是加号,括号里不变号,括号前是减号,括号里要变号。

2.在乘除运算中添括号时,括号前是乘号,括号里不变号,括号前是除号,括号里要变号。

(二)去括号法
1.在加减运算中去括号时,括号前是加号,去掉括号不变号,括号前是减号,去掉括号要变号(原来括号里的加,现在要变为减;原来是减,现在就要变为加。)。

2.在乘除运算中去括号时,括号前是乘号,去掉括号不变号,括号前是除号,去掉括号要变号(原来括号里的乘,现在就要变为除;原来是除,现在就要变为乘。)。

方法三:乘法分配律法
1.分配法
括号里是加或减运算,与另一个数相乘,注意分配
例:8×(3+7)
=8×3+8×7
=24+56
=80
2.提取公因式
注意相同因数的提取。
例:9×8+9×2
=9×(8+2)
=9×10
=90
3.注意构造,让算式满足乘法分配律的条件。
例:8×99
=8×(100-1)
=8×100-8×1
=800-8
=792
方法四:凑整法
看到名字,就知道这个方法的含义。用此方法时,需要注意观察,发现规律。还要注意还哦 ,有借有还,再借不难嘛。
例:9999+999+99+9
=(10000-1)+(1000-1)+(100-1)+(10-1)
=(10000+1000+100+10)-4
=11110-4
=11106
方法五:拆分法
拆分法就是为了方便计算把一个数拆成几个数。这需要掌握一些“好朋友”,如:2和5,4和5,4和25,8和125等。分拆还要注意不要改变数的大小哦。
例:32×125×25
=4×8×125×25
=(4×25)×(8×125)
=100×1000
=100000
方法六:巧变除为乘
除以一个数等于乘以这个数的倒数

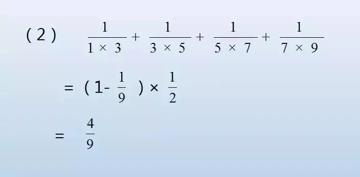
方法七:裂项法
分数裂项是指将分数算式中的项进行拆分,使拆分后的项可前后抵消,这种拆项计算称为裂项法.常见的裂项方法是将数字分拆成两个或多个数字单位的和或差。
遇到裂项的计算题时,需注意:
1.连续性
2.等差性
计算方法:头减尾。除公差。

