第二章需求曲线和供给曲线

编辑切换为居中
添加图片注释,不超过 140 字(可选)
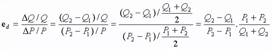
(2)需求的价格弹性:弧弹性

编辑
添加图片注释,不超过 140 字(可选)
(3)需求的价格弹性:点弹性

编辑
添加图片注释,不超过 140 字(可选)
(4)需求弹性的几何意义(以线性函数为例,如右图1)

编辑
添加图片注释,不超过 140 字(可选)
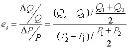
(1)供给的价格弹性
点弹性:

编辑
添加图片注释,不超过 140 字(可选)
弧弹性:

编辑
添加图片注释,不超过 140 字(可选)
(2)需求交叉价格弹性:

编辑
添加图片注释,不超过 140 字(可选)

添加图片注释,不超过 140 字(可选)
(3)需求的收入弹性:

编辑
添加图片注释,不超过 140 字(可选)
第三章效用论
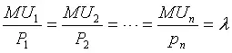
(1)边际效用的表达式

编辑
添加图片注释,不超过 140 字(可选)
(2)消费者均衡条件

编辑
添加图片注释,不超过 140 字(可选)

编辑
添加图片注释,不超过 140 字(可选)
(3)消费者剩余

编辑
添加图片注释,不超过 140 字(可选)
(4)商品的边际替代率(MRS)

编辑
添加图片注释,不超过 140 字(可选)
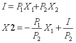
预算线

添加图片注释,不超过 140 字(可选)
(6)均衡的条件

添加图片注释,不超过 140 字(可选)
第五章成本论
(1)⒈由短期总产量推导短期总成本函数

添加图片注释,不超过 140 字(可选)
由短期生产函数:

添加图片注释,不超过 140 字(可选)
可Q得要素L的反函数

编辑
添加图片注释,不超过 140 字(可选)
从而短期成本函数可写成下式

编辑切换为居中
添加图片注释,不超过 140 字(可选)
(3)短期产量曲线与短期成本曲线之间的关系
①边际产量与边际成本之间的关系

编辑
添加图片注释,不超过 140 字(可选)
由
得
可见:边际产量与边际成本两者呈反向变动关系;总产量与总成本的凸凹性相反,且二者都呈在拐点(此时边际量取得最值)
②平均产量与平均可变成本之间的关系

编辑
添加图片注释,不超过 140 字(可选)
由
可见,平均成本与平均产量之间两者是反向变动的;当平均产量取得最大值时,平均成本取得最小值。
(4)长期总成本函数

添加图片注释,不超过 140 字(可选)
第六章完全竞争市场
(1)厂商的收益
总收益(TR):厂商按一定价格出售一定量产品时所获得的全部收入。TR=P•Q
平均收益(AR):厂商在平均每一单位产品上销售所获得的收入。AR=TR/Q
边际收益(MR):厂商增加一单位产品上销售所获得的收入。
MR=ΔTR/ ΔQ=dTR/dQ
(2)企业目标:利润最大化

编辑
添加图片注释,不超过 140 字(可选)
利润函数:

编辑
添加图片注释,不超过 140 字(可选)
利润最大化的一阶条件为:

添加图片注释,不超过 140 字(可选)
均衡的必要条件:
(3)生产者剩余(如图)

编辑
添加图片注释,不超过 140 字(可选)

编辑
添加图片注释,不超过 140 字(可选)
另外,由于TFC不变,即MFC=0总边际成本等于总可变成本,所以
PS=TR-TVC=P0Q0-0G·Q0
(4)厂商对最优规模的选择(短期在Q1点生产,长期在Q2点生产)

编辑切换为居中
添加图片注释,不超过 140 字(可选)
(5)厂商进出一个行业:市场价格为Pe行业长期均衡、市场价格为P2有厂商进入业、市场价格为P3行有厂商退出行业。
完全竞争厂商长期均衡条件:
AR=MR = SMC=LMC =LAC= SAC=P (简记aracmrmcp)
(6)成本递增行业:行业产量增加所引起的生产要素需求的增加,会导致生产要素价格的上升。
成本递增行业的长期供给曲线向右上方倾斜

编辑
添加图片注释,不超过 140 字(可选)
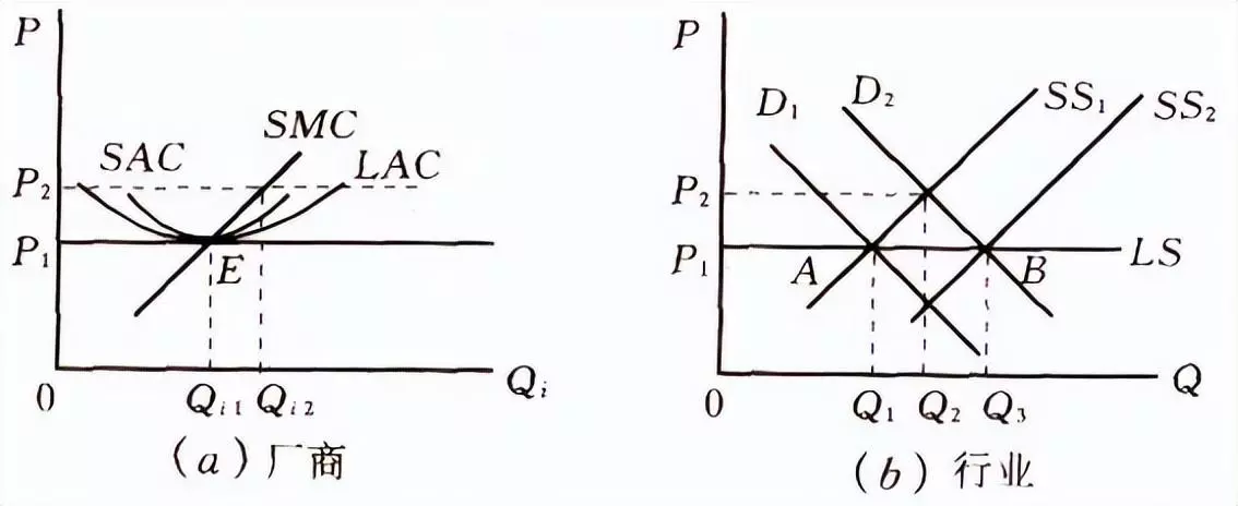
(7)成本不变行业:行业产量增加所引起的生产要素需求的增加,不会影响生产要素的价格。成本不变行业的长期供给曲线是一条水平线

编辑
添加图片注释,不超过 140 字(可选)
(8)成本递减行业:行业产量增加所引起的生产要素需求的增加,反而使生产要素价格的下降。
成本递减行业的长期供给曲线向右下方倾斜

编辑切换为居中
添加图片注释,不超过 140 字(可选)